Международная боксёрская федерация (IBF) опубликовала официальное заявление, в котором объяснила своё решение лишить казахстанца Жанибека Алимханулы (17-0, 12 КО) титула чемпиона мира в среднем весе, сообщают Vesti.kz.
Также IBF отстранила Алимханулы до декабря 2026 года. Напомним, казахстанец завоевал титул IBF в октябре 2023 года, нокаутировав непобежденного немца Винченцо Гуальтьери.
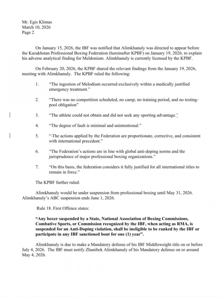
"Правило 18. Первое нарушение гласит: "Любой боксёр, отстранённый штатом, национальной ассоциацией боксёрских комиссий, органом по боевым видам спорта или комиссией, признанной IBF, действующей в качестве RMA, за нарушение антидопинговых правил, не имеет права быть включённым в рейтинг IBF или участвовать в любом бою, санкционированном IBF, в течение одного года". Алимханулы должен провести обязательную защиту своего титула чемпиона мира IBF в среднем весе не позднее 4 июля 2026 года. IBF обязана уведомить Алимханулы о его обязательной защите не позднее примерно 4 мая 2026 года.
Правило 5.B.1 гласит, в частности: "Каждый чемпион, признанный IBF в своей весовой категории от минимального до супертяжелого веса, обязан провести обязательную защиту своего чемпионского титула в течение девяти месяцев после его завоевания в поединке, запланированном на двенадцать раундов, против ведущего доступного претендента, назначенного председателем чемпионского комитета".
Санкции, предусмотренные Правилом 18, запрещают Жанибеку Алимханулы быть включённым в рейтинг IBF или "участвовать в любом бою, санкционированном IBF" в течение одного года после его отстранения за антидопинговое нарушение. Дисквалификация Алимханулы вступает в силу со 2 декабря 2025 года, и, следовательно, годичный период недопуска истекает 2 декабря 2026 года. Соответственно, Алимханулы не может выполнить обязательство по обязательной защите титула 4 июля 2026 года.
5 марта 2026 года Совет директоров IBF провёл телеконференцию для обсуждения данного вопроса. Большинство директоров пришло к выводу, что, учитывая вышеизложенное, титул чемпиона мира IBF в среднем весе должен быть немедленно объявлен вакантным", — говорится в официальном письме IBF.



Ранее своё решение в отношении Алимханулы вынесла и Всемирная боксёрская организация (WBO): она дисквалифицировала казахстанского боксёра на год, но при этом не лишала его титула чемпиона мира в среднем весе.
Напомним, в декабре Алимханулы сдал положительный допинг-тест - в его пробе обнаружили запрещённое вещество — мельдоний. В результате был отменен поединок против чемпионом WBA кубинца Эрисланди Лары. Позднее вскрытие второй пробы также подтвердило наличие запрещённого препарата, после чего началось официальное разбирательство.
Ещё больше спортивных новостей в наших социальных сетях. Подписывайтесь на наш Instagram и Telegram!
55%
14%
31%


Реклама